宁波美彩国际 - 美彩注册美彩国际 - pgmc
地址 :宁波市北仑区小港街道安居路18号13幢一层-108室
服务热线:0574--87911565
订购热线:13567496868
咨询热线:0574--87911565
邮箱:gary@iperalq.com
工业产品的装配,广泛使用螺纹连接来紧固[1]。大量的螺纹装配需要人工完成,机械装配操作仍然是高度劳动密集型的。全球工业装配中,近70%由螺纹连接构成[2],螺纹连接占据全部装配工作量的三分之一[3]。装配工艺是否合理,直接影响产品的质量和生产效率。
采用自攻螺钉装配可以降低工作量并提高效率,自攻螺丝可以省略螺纹攻丝的初步操作,并将定向的程序、螺纹成型和拧紧组合。这种装配过程包括形成一个由外部施加扭矩产生的孔直径和结构侧面上的螺纹。螺钉拧入后,会产生径向张力,从而使其和螺钉有可靠地连接[4]。
对整体扭矩的监测和扭矩欠缺是这种技术的主要不足之处[5]。重要的扭矩要求限制使用这种技术,并降低了其可靠性。螺纹成型速度的控制,是提供更稳定和更精确装配参数的基本方法。速度需要在螺纹形成的三个阶段里适当的变化:
第一阶段:从螺杆接触孔开始,持续到螺杆完全拧入(二到三级螺纹线圈)。
第二阶段:螺纹成型的紧固件的拧入。
第三阶:段涵盖拧紧紧固件。
实验表明,随着速度的增加,转矩减小到一个确定的极限值。通过改变装配速度,可以调整某些在螺纹形成过程中影响连接质量和操作特性的参数。
这里研究目的是在自攻螺钉不同的攻丝速度下的扭矩,以及可以确定最佳攻丝速度的方法的定义。依据最佳规律驱动控制的最终结果是降低攻丝时的耗电量,改善螺纹连接的质量以及提高装配过程中的稳定性。
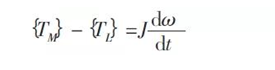
2 螺丝拧紧装配的动力学特性
螺丝的拧紧装配属于多轴拖动系统,由一台电机通过减速机构完成。这种情况下,为了列出系统的运动方程,需将各转动部分的转矩和转动惯量折算到电机轴上,电机轴的输出转矩克服负载转矩和摩擦力矩,拖动螺丝刀头转动。
多轴系统的运动方程式如下:

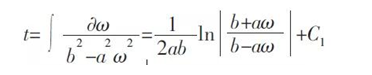
式中:TM—电机的输出转矩;TL—负载转矩。通过分离变量ω 和t,并积分,得到下列关系式:

把式(1)、式(2)代入式(3)上式,得到一个用来确定装配第一阶段所需时间的等式:

上面等式的性质,如图1 所示。
开始,速度从t=0,ω=0 初始条件以指数规律增加。然后,当t→∞ 时,ω(t)曲线逐渐接近值:

这是因为在方括号中的项迅速接近1。从物理学上分析,这种现象的原因在于,螺杆开始以恒定的速度旋转一次的摩擦转矩与驱动的电动扭矩相匹配。
3 螺丝拧入阶段速度的理论计算
装配过程控制是一个复杂的问题,其解决方案必须考虑到一个给定的匹配的所有特点和一个给定的匹配的连接要求。以最大响应速度和最低功耗为唯一依据,来试图解决这些问题只是一种片面做法,因为这些问题有一个多标准字符。首先,美彩国际
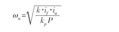
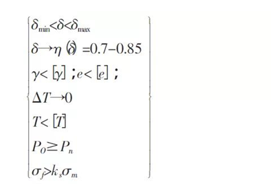
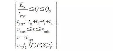
必须了解在组装过程中拧入的速度变化;特别是,预测在这个阶段结束时达到的速度νn 是重要的。在下面的阶段,将给予主轴一定的扭矩和低速旋转,直到它停止。对在装配过程中的每个阶段的控制分析来评估系统约束。用下面条件系统来描述装配过程的可靠性:

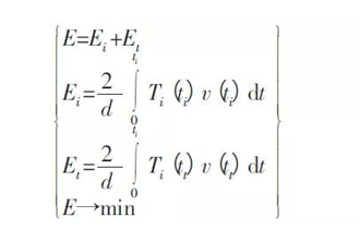
组装过程的能力是在保证一定的工艺质量指数的同时实现的工作量。装配过程的能力是拧入和拧紧的时间和所需的辅助过渡时间的函数和。确定组装能力的系统条件如下:

组装过程的功率消耗取决于在拧紧和拧紧阶段施加的扭矩以及组装时间:

所得到的连接质量是通过螺纹部分的几何特征和对应的预定标准来表示的。硬化和锁定特性以及螺纹剖面的连接强度也被考虑在内:

如果美彩国际 仅在拧阶段来定义最佳速度函数(即不能在收紧过程、预组装和后装配阶段考虑到速度),则功效函数将取决于以下符合条件的因素:
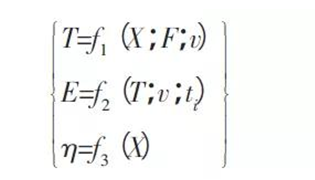
上述系统的多种因素被分在两个大组中,X 和F,以及在拧入过程中有关转换的三个特定参数ν,TI,和T。在这些条件下,效率函数赋予装配过程的特征如下:

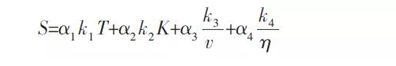
其中,加权系数α1…α4是由优先级处理的方法来测定,还原系数k1…k4 是通过一种关系分析来确定的。以一系列螺距,速度和旋拧长度来评价功效函数,执行此计算遵循如下程序:

在三个阶段中,在每个线程增量Δz 中美彩国际
测试了一些可能的速度增量Δvi。通过所有这些速度的增量和总速度vik 计算能量ΔEik,美彩国际
可以测量的效率S 代表该线程增量。以每个螺距Δz 为单位,选择与S 的极小值有关的速度增量,从而得到以下函数:

4 最佳拧紧速度的实验

为了实验,专门开发了一套自动拧螺丝机,用于自动拧紧螺丝。实验装置,如图4 所示。自动拧螺丝装置的组成包括:螺丝振动盘、螺丝自动上料装置、电动数控螺丝刀及其控制器、螺丝刀运动装置。螺丝振动盘实现螺丝的自动分离,通过螺丝自动上料装置给电动螺丝枪供料,螺丝刀运动装置驱动螺丝刀上下运动,拧紧螺丝,实现装配。
通过具有以下特征的螺纹连接美彩国际
转向计算控制动作的推导:一个M5、螺距P=1mm 的螺钉拧入铝合金本体。螺钉的螺纹圈数为z=8。首先,美彩国际
计算从螺钉拧入材料引起形变到该螺钉的前两个线圈已被拧入的这个时间段的速度。接下来美彩国际
计算攻丝速度从(0.020——0.0731)m/s 的转矩和Z =2…8 的拧入深度。当螺纹的两个线圈已被拧入基座时,第一值对应阶段1 的结束。这也是该紧固件的螺纹连接开始稳定的时刻。为了找到最佳的装配参数,美彩国际
使用效率函数,并在每个深度选择那些最小S 值对应的速度。对应于表1 的ν 和z 的增量,如表2 所示。在Mathcad 中优化处理矩阵时,此表为其提供了依据。


ν 和扭矩为6 线圈深度的效率函数的二维轮廓,如图3 所示。拧入深度为2 个线圈的最佳速度为0.05m/s。对于3 个线圈拧入深度,最佳速度为0.06m/s,以此类推。由于已拧入线圈数目的增加,因此拧紧速度最大限度减少了效率函数S。径向速度对形成的螺纹线圈的数量具有规律性,如图4 所示。通过自动拧螺丝机实现。

5 结论
根据螺丝拧入速度的理论模型,结合最佳拧紧速度的实验,可以得出这样的结论:自动拧螺丝机在拧紧螺丝过程中,对于不同的工件材料,在不同的拧入阶段,需要采用不同的拧紧速度,可以最大限度的减少扭矩,实际施加的扭矩可以降低(15——20)%,同时创造了更均匀的预定特性的螺纹连接,节约了能源,减少了对被拧紧工件的破坏。
宁波市美彩国际 - 美彩注册美彩国际 - pgmc坐落于风光秀丽的中国东方大港,海滨城市---宁波,距宁波市中心、栎社机场、宁波北仑港、火车站、汽车客运中心仅半小时交通路程,距上海国际大都市仅两个半小时路程。于2009年正式注册成立,是集生产,销售,服务于一体的综合性工贸公司。公司主要经营五金紧固件和非标五金加工两大类产品,公司业绩逐年攀升,其营销网络已经覆盖到全国各地,并一直延伸海外。德维特工贸今天的发展,是凭着不同领域广大客户的鼎力支持和公司员工的不懈努力的结果。
公司提供以下主要材质产品 :合金钢、碳钢、不锈钢材质紧固件及非标加工件。
标准主要包括:德标(DIN)、美标(UNC、UNF)、英制(BSW)、国标(GB)、日标(JIS)。
主要产品有:内六角螺钉、外六角螺栓、膨胀螺丝、双头螺柱、马车螺丝、螺母、自攻自钻螺钉、机螺钉、木螺钉等。汽车专用件、电力专用件、交通专用件、建筑专用件、石化专用件。
产品广泛配套使用在工业设备、工程机械、液压传动机械、风机、电梯、汽车、化工、工业制冷工程、建筑等行业。